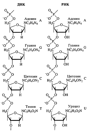
ДНК (ДЕЗОКСИРИБОНУКЛЕИНОВАЯ КИСЛОТА) , высокополимерное природное соединение, содержащееся в ядрах клеток живых организмов; вместе с белками гистонами образует вещество хромосом. ДНК - носитель генетической информации, ее отдельные участки соответствуют определенным генам. Молекула ДНК состоит из 2 полинуклеотидных цепей, закрученных одна вокруг другой в спираль. Цепи построены из большого числа мономеров 4 типов - нуклеотидов, специфичность которых определяется одним из 4 азотистых оснований (аденин, гуанин, цитозин, тимин). Сочетания трех рядом стоящих нуклеотидов в цепи ДНК (триплеты, или кодоны) составляют код генетический. Нарушения последовательности нуклеотидов в цепи ДНК приводят к наследственным изменениям в организме - мутациям. ДНК точно воспроизводится при делении клеток, что обеспечивает в ряду поколений клеток и организмов передачу наследственных признаков и специфических форм обмена веществ.
Hosted by uCoz