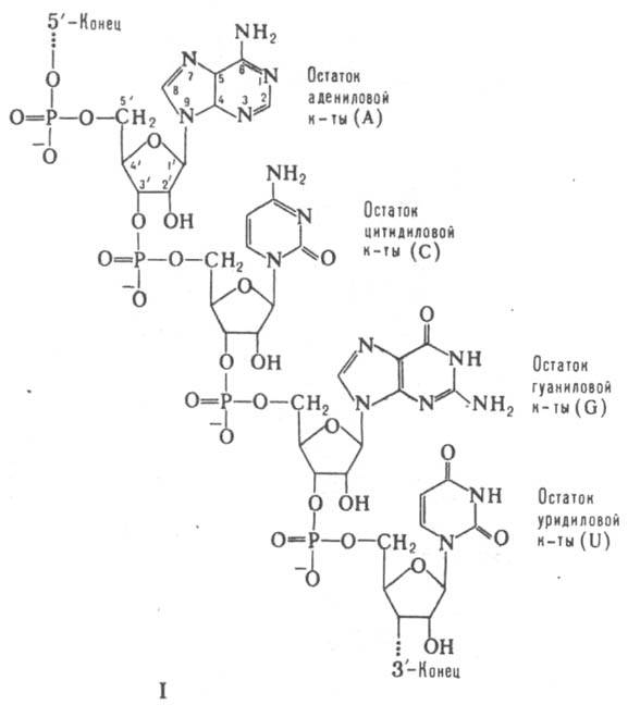
РНК (РИБОНУКЛЕИНОВЫЕ КИСЛОТЫ), высокомолекулярные органические соединения, тип нуклеиновых кислот. Образованы нуклеотидами, в которые входят аденин, гуанин, цитозин и урацил и сахар рибоза (в ДНК вместо урацила - тимин, вместо рибозы - дезоксирибоза). В клетках всех живых организмов участвуют в реализации генетической информации. Три основных вида: матричные, или информационные (мРНК, или иРНК); транспортные (тРНК); рибосомные (рРНК). У многих вирусов (т. н. РНК-содержащих) - вещество наследственности. Некоторые РНК (т. н. рибозимы) обладают активностью ферментов.
Hosted by uCoz